Cos 2 Alpha Cos 2 Beta Cos 2 Gamma 1 43+ Pages Answer [1.7mb] - Latest Update
40+ pages cos 2 alpha cos 2 beta cos 2 gamma 1 2.8mb. 66k 11 11 gold badges 98 98. Click hereto get an answer to your question cos 2 alpha cos 2 beta cos 2 gamma frac 3 4 frac 1 2. Cos2 alpha cos2 beta cos2 gamma-2cosalpha cosbeta cosgamma1. Read also gamma and learn more manual guide in cos 2 alpha cos 2 beta cos 2 gamma 1 If 1 sin cos 2 sin then what will be the value of 1 sin 1 sin cos View solution.
If cosalpha-beta cosbeta-gamma cosgamma-alpha-frac32can you prove that cos alpha cos beta cos gamma0 and sin alpha sin beta sin gamma 0. Cos2 alpha cos2 beta cos2 gamma 2cos alpha cos beta cos gamma 1 My thoughts.

If Cos 2alpha Cos 2beta 2 Then Tan 3alpha Sin 5beta
| Title: If Cos 2alpha Cos 2beta 2 Then Tan 3alpha Sin 5beta |
| Format: PDF |
| Number of Pages: 328 pages Cos 2 Alpha Cos 2 Beta Cos 2 Gamma 1 |
| Publication Date: June 2019 |
| File Size: 1.35mb |
| Read If Cos 2alpha Cos 2beta 2 Then Tan 3alpha Sin 5beta |
21-6-2020 To keep watching this video solution for.
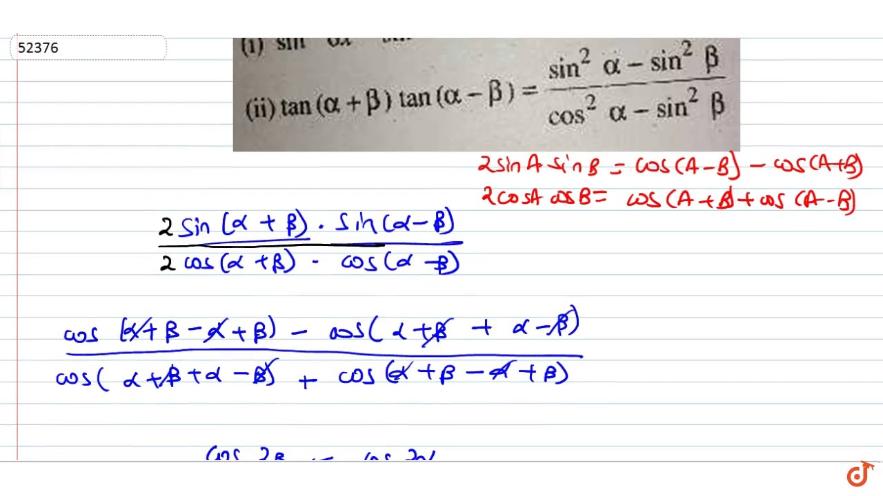
Follow edited Jun 12 20 at 1038. Ive reduced the degree of the squared trig functions to one using the trig power reduction formula but that didnt work. To ask Unlimited Maths doubts download Doubtnut from - httpsgoogl9WZjCW If alpha beta gamma prove that cos2 alpha cos2 betacos2gamma12cos. The 2D case is trivial. Value of sin 2 2 1 2 sin 2 2 1 2 sin is equal to. Should I convert 1 to sin2xcos2x.

Cos 2 Alpha Is Equal To
| Title: Cos 2 Alpha Is Equal To |
| Format: ePub Book |
| Number of Pages: 310 pages Cos 2 Alpha Cos 2 Beta Cos 2 Gamma 1 |
| Publication Date: January 2021 |
| File Size: 800kb |
| Read Cos 2 Alpha Is Equal To |

If Alpha Beta Gamma Are Direction Angles Of A Line Then Cos 2alpha Cos 2beta Cos 2 Gamma
| Title: If Alpha Beta Gamma Are Direction Angles Of A Line Then Cos 2alpha Cos 2beta Cos 2 Gamma |
| Format: PDF |
| Number of Pages: 175 pages Cos 2 Alpha Cos 2 Beta Cos 2 Gamma 1 |
| Publication Date: April 2017 |
| File Size: 2.6mb |
| Read If Alpha Beta Gamma Are Direction Angles Of A Line Then Cos 2alpha Cos 2beta Cos 2 Gamma |

Rightarrow Cos 2 Alpha Cos 2 Beta Cos 2 Gamma I Sin 2 Alpha Sin 2 Beta Sin 2 Gamma 0
| Title: Rightarrow Cos 2 Alpha Cos 2 Beta Cos 2 Gamma I Sin 2 Alpha Sin 2 Beta Sin 2 Gamma 0 |
| Format: ePub Book |
| Number of Pages: 274 pages Cos 2 Alpha Cos 2 Beta Cos 2 Gamma 1 |
| Publication Date: October 2019 |
| File Size: 2.2mb |
| Read Rightarrow Cos 2 Alpha Cos 2 Beta Cos 2 Gamma I Sin 2 Alpha Sin 2 Beta Sin 2 Gamma 0 |

If Sin Alpha Sin Beta 2 Then Find The Value Of Cos 2alpha Cos 2 Beta
| Title: If Sin Alpha Sin Beta 2 Then Find The Value Of Cos 2alpha Cos 2 Beta |
| Format: ePub Book |
| Number of Pages: 187 pages Cos 2 Alpha Cos 2 Beta Cos 2 Gamma 1 |
| Publication Date: January 2019 |
| File Size: 3.4mb |
| Read If Sin Alpha Sin Beta 2 Then Find The Value Of Cos 2alpha Cos 2 Beta |

Please Help Me Input The Following Formula Correctly Tex Latex Stack Exchange
| Title: Please Help Me Input The Following Formula Correctly Tex Latex Stack Exchange |
| Format: ePub Book |
| Number of Pages: 292 pages Cos 2 Alpha Cos 2 Beta Cos 2 Gamma 1 |
| Publication Date: February 2021 |
| File Size: 725kb |
| Read Please Help Me Input The Following Formula Correctly Tex Latex Stack Exchange |

Tan Alpha Beta Tan Alpha Beta Sin 2 Alpha Sin 2 Beta Cos 2 Alpha Sin 2 Beta
| Title: Tan Alpha Beta Tan Alpha Beta Sin 2 Alpha Sin 2 Beta Cos 2 Alpha Sin 2 Beta |
| Format: PDF |
| Number of Pages: 234 pages Cos 2 Alpha Cos 2 Beta Cos 2 Gamma 1 |
| Publication Date: December 2018 |
| File Size: 6mb |
| Read Tan Alpha Beta Tan Alpha Beta Sin 2 Alpha Sin 2 Beta Cos 2 Alpha Sin 2 Beta |
Direction Cosines A Show That Chegg
| Title: Direction Cosines A Show That Chegg |
| Format: ePub Book |
| Number of Pages: 294 pages Cos 2 Alpha Cos 2 Beta Cos 2 Gamma 1 |
| Publication Date: January 2017 |
| File Size: 2.8mb |
| Read Direction Cosines A Show That Chegg |

If Alpha Beta Gamma Prove That Cos 2 Alpha Cos 2 Beta Cos 2gamma 1 2cos Alpha Cos Beta
| Title: If Alpha Beta Gamma Prove That Cos 2 Alpha Cos 2 Beta Cos 2gamma 1 2cos Alpha Cos Beta |
| Format: PDF |
| Number of Pages: 153 pages Cos 2 Alpha Cos 2 Beta Cos 2 Gamma 1 |
| Publication Date: October 2017 |
| File Size: 2.1mb |
| Read If Alpha Beta Gamma Prove That Cos 2 Alpha Cos 2 Beta Cos 2gamma 1 2cos Alpha Cos Beta |

Prove Cos 2 Alpha Cos 2 Beta Cos 2 Gamma 1 Please Help Brainly In
| Title: Prove Cos 2 Alpha Cos 2 Beta Cos 2 Gamma 1 Please Help Brainly In |
| Format: ePub Book |
| Number of Pages: 210 pages Cos 2 Alpha Cos 2 Beta Cos 2 Gamma 1 |
| Publication Date: November 2021 |
| File Size: 1.35mb |
| Read Prove Cos 2 Alpha Cos 2 Beta Cos 2 Gamma 1 Please Help Brainly In |
![]()
If Alpha Beta Gamma Prove That Cos 2 Alpha Cos 2 Beta Cos 2gamma 1 2cos Alpha Cos Beta Cos Gamma
| Title: If Alpha Beta Gamma Prove That Cos 2 Alpha Cos 2 Beta Cos 2gamma 1 2cos Alpha Cos Beta Cos Gamma |
| Format: eBook |
| Number of Pages: 332 pages Cos 2 Alpha Cos 2 Beta Cos 2 Gamma 1 |
| Publication Date: March 2018 |
| File Size: 2.6mb |
| Read If Alpha Beta Gamma Prove That Cos 2 Alpha Cos 2 Beta Cos 2gamma 1 2cos Alpha Cos Beta Cos Gamma |
Cos 2 Alpha Beta
| Title: Cos 2 Alpha Beta |
| Format: ePub Book |
| Number of Pages: 248 pages Cos 2 Alpha Cos 2 Beta Cos 2 Gamma 1 |
| Publication Date: January 2019 |
| File Size: 1.6mb |
| Read Cos 2 Alpha Beta |
If alpha beta gamma pi and tanfrac-alpha beta gamma4tanfracalpha - beta gamma4tanfracalpha beta - gamma4 1 Then. Asked Jun 27 19 at 1538. Should I convert 1 to sin2xcos2x.
Here is all you have to to learn about cos 2 alpha cos 2 beta cos 2 gamma 1 Value of sin 2 2 1 2 sin 2 2 1 2 sin is equal to. Prove that cos2 alpha cos2 beta cos2 gamma 1. Ive reduced the degree of the squared trig functions to one using the trig power reduction formula but that didnt work. If alpha beta gamma prove that cos 2 alpha cos 2 beta cos 2gamma 1 2cos alpha cos beta cos gamma cos 2 alpha is equal to cos 2 alpha beta tan alpha beta tan alpha beta sin 2 alpha sin 2 beta cos 2 alpha sin 2 beta if cos 2alpha cos 2beta 2 then tan 3alpha sin 5beta if sin alpha sin beta 2 then find the value of cos 2alpha cos 2 beta The solution set of 2 cos x -1 3 2 cos x 0 in the interval 0 x 2 is.
Post a Comment
Post a Comment